活塞引擎 11:渦輪增壓

這次要來說說增壓裝置的話題。 渦輪增壓如今早已不是什麼稀奇罕見的高科技產品,在許多民用房車上都能見到它的身影, 其廣泛流通的程度甚至早已成為尋常可見的東西。 但有沒有想過,就這麼小小的一個附加裝置竟然能夠大幅度提升汽車引擎的動力, 其提升程度幾乎讓所有其它技術改進方案在它的面前都成了小弟。 本篇我就要來聊聊在活塞引擎上加入渦輪增壓的話題。

高空的稀薄空氣

若是回到最初在航空領域上面的應用則又是另一番光景, 它在航空飛機上開始的故事倒不是為了增加馬力什麼的,而是為了一個很卑微又很現實的需求: 希望上了空氣稀薄的天空時,動力能夠不要衰弱的太慘!

飛機上了高空發生什麼事情呢? 我們知道愈往高空走這空氣愈加稀薄,翻譯成我們分析發動機時聽得懂的用語, 就是高度愈高則氣壓愈低、密度愈低、溫度也愈低 (以上幾點至少在人類飛機一般正常能夠飛到的高度內是如此)。 若拿起在前篇 [1] 使用過的分析方法來分析發動機在如此環境下的性能表現, 就會發現當進氣時氣壓愈低,則發動機的功率輸出也愈低, 其功率降低的幅度大約與吸氣壓力降低的比例相同。

然而情況卻並不僅止於此。 當氣壓降低的時候,空氣的密度也同樣在降低, 這表示汽缸一次吸入的氣體雖然體積是一樣的,但是氣體總質量降低了。 這有什麼問題呢? 氣體的量降低了就表示連帶內含的氧氣份量也降低, 也就是說真正能夠參與氧化反應的燃料量也會同樣下降, 如果在高空和在地面一樣噴入同樣份量的汽油的話,那麼其中一大部份顯然並不能得到與氧結合的機會, 也就是說許多的燃料會被平白浪費掉! 當然我們通常不會這麼蠢,通常駕駛員會相應的降低油氣混合比例,反正多噴的油也是浪費。

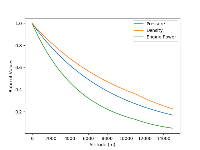
這麼一套下來的結果,在高空氣壓降低本身已經能使發動機的輸出功率降低, 空氣密度的降低又使得我們必須得少噴點油,便再進一步下調動力輸出。 最終發動機功率與飛行高度的變化關係整理如下圖(Figure 1)所示。

Tip
Figure 1 採用與前篇 [1] 相同的計算方式, 採用理想條件 9 倍壓縮比的計算案例參數, 隨動的變數只有吸氣時的空氣狀態變化 [2] , 以及隨同吸氣密度的變化等比調整升溫幅度。 並且為了更好的比較幾個不同參數隨高度而變化的幅度,各參數並不是以原始值的大小來繪製圖表, 而是表示以與相對於地面高度時的值的比例。 例如圖表顯示氣壓在約 8000 公尺高度下的壓力約為 0.4, 意思是指該高度下的壓力只有高度 0 時氣壓的 0.4 倍。
fig1 1 altitude profile
Figure 1. 發動機功率與高度變化趨勢

從上面的圖表可以觀察出,如果不考慮其它手段的輔助, 發動機的功率在飛行高度來到 3000 公尺時就只剩下一半了,到了 9000 公尺時只剩下兩成。 當然這只是單純只看發動機的功率表現變化,至於飛機的具體升限還得由飛機整體的綜合設計來決定, 例如動力在扣掉飛行基本所需之後究竟還「多餘」了多少、又例如機翼本身在地面和高空的性能表現如何等等; 不過在本篇將只聚焦在發動機的性能影響上面就是了!

既然飛行高度愈高則發動機功率直落,那麼我們該怎麼辦呢? 顯然現代的我們知道人類對此問題的解決辦法,就是在高空給發動機製造一個高壓的進氣條件, 而對於這個方案我們所需要的就是一個小附加裝置:增壓器。 有了增壓器的存在,在高空稀薄的大氣中飛行,它能夠吸入大量空氣然後加壓空氣, 壓縮後再把空氣送進汽缸內,再之後就是我們已經知道的事情了。 空氣壓縮器的作用效果在於,如果說它能將進氣的壓力給增加個 3 倍(當然假設密度也是同等上升), 那麼就能讓發動機在 6000 公尺高度上的表現和地面上相差不大; 換句話說,飛機的升限能夠因此更加提高,而發動機在那樣高空的性能表現依然不俗! (當然這是只看發動機的情況,至於整機的性能還和飛機上很多其它東西在高空的表現有關。)

渦輪增壓器簡介

其實壓縮機有許多種不同原理與形式的實現, 甚至於前面好幾篇在解說的活塞汽缸其實也是壓縮器的一種實現方式, 不過在本篇我將只專注於離心渦輪壓縮機的內容。

fig2 1 turbo compressor
Figure 2. 離心渦輪增壓器 [3] [4]
fig2 2 radial turbine impeller
Figure 3. 離心渦輪的葉輪 [5] [4]

上圖(Figure 2)這東西就是渦輪壓縮器,因為形狀酷似蛙牛的關係,也有人暱稱它較小蛙牛。 其內部最重要的,也是唯一會活動的主要零件,就是上圖(Figure 3)被稱為「葉輪」的零件。 當葉輪高速旋轉起來(以上圖(Figure 3)的葉輪來說是逆時鐘旋轉), 中心會從前方吸入外界的空氣到葉輪內,然後空氣被葉輪推動著一起旋轉起來。 空氣在旋轉的過程中會一路往外圈被推著跑, 最後被推送到最外圈的環狀通道內被收集起來,整流過後集中從一處切線方向的出口吹出去。 至此完成空氣在增壓器內的流動過程。

稍微仔細點說明其中原理,空氣在從葉輪中心往外圈的路程上會受到兩股力量的作用, 一個是切線方向的加速力,一個是徑向的離心力。 徑向離心力(如下圖 Figure 4 的綠色箭頭所示)作用在空氣上除了推動空氣往外圈跑之外, 也是這時候空氣被壓縮的主要力量來源。 另一邊沿著繞圓的切線方向(如下圖 Figure 4 的藍色箭頭所示)的力作用在空氣身上, 使得吸入的空氣被加速跟著繞圓旋轉; 而且因為空氣同時一直在順著徑向方向往外圓移動,所以不斷會有新來的空氣需要被加速旋轉起來。 這個加速的力道就是物理圓周運動中的「科氏力」,而其之反作用力同時也是葉輪旋轉的最大阻力來源。

fig2 3 impeller flow out
Figure 4. 氣流在葉輪內的流動方向 [6] [4]

當空氣從葉輪最外圍離開的時候,其不只被進行了一定程度的增壓, 還同時帶有與葉輪尖端速度相同的切線方向速度,速度相當高。 空氣離開葉輪後就會進入外面的環狀通道, 這個通道的作用除了收集氣體使其最後從一個固定的方向流出之外, 還同時具有將剛離開葉輪的高速氣體減速的任務。 因此這個環形通道又被稱為「擴散器」,空氣在這裡急遽減速的結果又會造成一波升壓, 主要原理為擴散器將氣體的動能轉換為壓力的結果。 這一切都走完之後,最後才將流速適中的高壓空氣從環形通道的一個出口 (或在大型壓縮機上面可能有數個對稱的出口)離開壓縮機。 因此總體而言,空氣被壓縮主要發生在兩個地方,一個是在葉輪上面受離心力的作用而被壓縮, 另一個是在進入環形擴散器的時候被大量削減動能而增壓。

前面提到空氣在流經葉輪時產生的反作用力是葉輪旋轉的阻力主要來源, 那麼為了克服這個阻力,我們就會需要有額外的動力來提供葉輪旋轉的能量。 這點很重要,但有關這一部份的動力來源暫且保留,留待後面再做解說。

渦輪膨脹器

離心渦輪其實挺有趣的,同樣的一個東西既能被用作壓縮器使用,也能拿來作為膨脹器使用。

什麼是膨脹器呢?要把空氣膨脹不是直接將高壓空氣釋放出去就好了嗎? 當然所謂膨脹器的目的並不只是讓氣體膨脹而已, 而是希望能夠捕捉蒐集氣體在膨脹的時候所對外做的功以為我們所用,這才是膨脹器真正的目的; 否則若非如此,要讓氣體膨脹只要將高壓氣往低壓處釋放即可! 其實這樣的東西我們應該是很熟悉的,比方說本系列主題一直在探討的活塞汽缸就同時既是壓縮器也是膨脹器, 活塞汽缸組在膨脹行程也是擔負著捕捉燃氣膨脹降壓的過程中所釋放的功的作用。

fig2 4 impeller flow in
Figure 5. 作為膨脹器使用時,氣流在葉輪內的流動方向 [6] [4]

當離心渦輪作為膨脹器使用時,一切幾乎都是一模一樣,只是方向反著來而已。 高壓氣首先從原來的出口送入環形通道內,然後高壓氣從環狀通道內側的狹縫高速降壓吹出, 在導流片的作用下以切線方向高速衝擊葉輪,成為推動葉輪的作用力。 接著氣體順著葉輪的徑向流道流向葉輪中心,在這整個過程中同樣會產生科氏力, 這個科氏力繼續提供葉輪旋轉的動力,同時讓空氣在這路程上繼續減速(切線方向)、降壓。 最後已經得到一定程度膨脹的氣體從葉輪中央的出口,也就是作為壓縮器使用時的那個入口處吹出。

最終濃縮全部的結果,只要記得離心渦輪既可以作為壓縮器使用、也可以作為膨脹器使用即可, 其進出口、動能、壓力等等幾乎都是互相對稱的,基本可以互相套用。

離心渦輪性能特性

不像往復式活塞那樣,離心渦輪基本只有一個主要的移動零件,而且還是平滑連續移動的(旋轉)。 只要零件質量和受力分佈夠平均,幾乎可以放手用力拉高轉速, 所以常見離心壓縮機能以上萬、甚至十幾二十萬 RPM 的轉速在工作; 而轉速愈快,當然壓縮空氣的能力也就愈好。

這樣離心壓縮機是不是性能就沒有上限了呢?非也! 離心機葉輪的轉速最終會受制於空氣音速的限制,當外緣速度達到音速的時候, 就會開始遭遇超音速流場特有的震波問題,也就是所謂「音障」。 白話來說就是你得付出更多倍的力氣去推動維持葉輪旋轉,但是提升的效果卻微乎其微,不合算! 因此離心壓縮機的最大轉速受限於音速。 觀察現實,那些尺寸(葉輪直徑)愈大的離心機其極限轉速愈低, 而那些能跑幾十萬轉的離心機則都是小型的機器,符合此概念。

這裡還要補充一個可能常見的誤區。 音速其實只是擺在所有關卡的最後一個大關,並不是說實際上只存在這麼一個關卡, 而其實許多平價的離心壓縮機甚至可能在被音障這個關卡困擾之前,就先被前面關卡給卡住了! 比如說軸承是否能夠承受如此高的轉速?該如何潤滑?特別是有些離心機很可能還是工作在高溫的環境下。 又比如說在高速旋轉之下,零件的結構強固程度如何?會不會撐不住離心力就先自己爆炸了?! 葉輪質量分佈是否足夠均勻?氣動外型是否足夠平均?軸心的加工與配置是否足夠精準? 否則高速轉一轉可能就先把自己給轉歪變形了! 還有葉輪和外殼之間照理說應該要保持某種氣密性的,可是因為兩者的相對移動速度實在太高了, 類似活塞環、橡膠墊什麼的方法並不實際,因此只能留個不讓兩者接觸的縫隙在那裡 (這點可以仔細觀察 Figure 2Figure 14)。 這個縫隙如果能夠造的愈小,肯定漏氣就愈少、性能就愈好, 但是具體能夠造得多小而不會在高速旋轉中碰在一起呢? 以上這些小魔王都是基於技術上的困難,並非不能夠解決, 但也確實考驗精密製造與裝配水準,以及願意投入多少成本有關。 於是那些改裝過渦輪增壓組件的汽車駕駛們一定有察覺到一件事: 這小小的一顆渦輪,拆開來看也好像沒什麼東西,但怎麼就賣得這麼貴啊?!

壓縮能力

既然是壓縮機,我們當然關心它的壓縮能力如何? 對於這類空氣壓縮機的壓縮能力,一般看的是壓縮機入口和出口壓力的比值, 並且注意這裡用的壓縮比是壓力壓縮比,而不是在從前我們可能更加熟悉的容積壓縮比! 一般來說離心壓縮機的最大壓縮能力大約為 3.5 倍左右的壓縮比。 當然這個數字是一個非常非常粗略的數字,並且這個數字不只是粗略大約而已, 實際應用中的壓縮機也會因為不同的設計、和不同的工作狀態,而有不同的性能表現。

除了細節的設計和製造工藝之外,在根本原理上決定離心壓縮機壓縮能力的主要因素為: 葉輪的半徑轉速。 大的壓縮機雖然尺寸大了好像能產生較強的離心力,但是轉速上限卻變小了; 或者小的壓縮機雖然看起來好像不能產生多大的離心力,但是它卻可以容許更高的轉速上限。 因此造成了一個有趣的結果:離心壓縮機不論尺寸的大小,其極限壓縮能力大約都在 3.5 倍上下! 不論是一般常見大小的車用壓縮機、還是航模使用的超小型壓縮機、或者是像戰鬥機上面用的那種大型壓縮機, 它們的最大壓縮倍率都是差不多在同一個水平。 當然這裡說的是理論上限,至於實際上的壓縮比可能會更低, 比方說設計和製造條件不足以至於無法轉太快、製造工藝不佳導致的漏氣和摩擦問題, 或者應用時的上下游工況不匹配、或是提供壓縮動力的動力源不足等等, 都會導致無法達到理論上的壓縮比。 通常對於一般家用車(當然是指有增壓的款式),其增壓比約在 1.2 ~ 1.5 左右, 比較強調性能的車款才有大約 2 ~ 3 倍的壓縮比表現; 當然這些只是一般常見的通常數字供參考,並非絕對。

同樣是壓縮比,但是以往我們認知的都是體積壓縮比,可是在渦輪增壓機上面的數字卻計算的是壓力壓縮比。 為什麼渦輪壓縮機的壓縮比算的是壓力比,而不是像活塞汽缸一樣計算體積壓縮比呢? 或者為什麼活塞汽缸標示的都是體積壓縮比,而不採用壓力壓縮比呢?

這是源自於測量的方式而導致的結果,在活塞汽缸的設計上, 我們可以很方便的透過計算汽缸的幾何尺寸和活塞行程,就能得知體積對應關係; 但是如果想要知道壓力關係的話,就得使用比較複雜的氣體方程式去做計算, 並且不同油氣混合條件下的相關參數還是不一樣的,計算不容易也不準確。 相對的對於離心壓縮機來說,流體是連續不斷的從前面進入、從後面離開壓縮機, 要如何才能得知進出氣體的體積關係呢?也不是不能,但是方案複雜的多,準確性也不容易控制; 反而如果要得知壓力比,就只要在進出口各放一個壓力計就可以了。

這就是為什麼兩種壓縮機會採用不同的壓縮比計算基準的原因了。 而我們如果需要比較兩者的性能相關數據的話,就不要忘了對兩者的壓縮比進行一些必要的轉換計算。 如果套用理想氣體和絕熱條件,則兩種壓力比的轉換關係如下:

\[ 壓力壓縮比 = 體積壓縮比^{1.4} \] \[ 體積壓縮比 = 壓力壓縮比^\frac{1}{1.4} \]

離心渦輪的優勢

3 倍多的壓縮比看似沒什麼特別之處, 特別是相比於活塞汽缸結構的壓縮機動不動就能提供幾十倍壓縮的情況之下, 不過離心壓縮機能在特定用途上成為最佳選擇顯然是因為具有一些特殊優點。 渦輪機的優勢主要在於:體積小、幾乎無振動、以及容許的氣體通量大。 這些優點使得在工作轉速範圍常保持在較高區間的航空發動機上, 離心渦輪機比起像是雙螺桿式等等其它形式的壓縮機更加傑出優秀, 至少你不會看到活塞形式的增壓機; 否則我們可以想像一個附掛的助力設備,竟然是一個體型和結構與主要活塞發動機沒差多少的東西, 那得是個什麼光景?

振動的部份好理解,只有一個葉輪在動,還是順向穩定旋轉,自然沒有像往復式活塞那樣的振動問題。 至於小體積的優勢其實是其氣通量大的一體兩面, 因為容許的通量大,自然不需要用上太大的壓縮機就夠了; 不過這個大和小都是對比之下的結果,並不是真的拿一個超小的渦輪就可以把超大量氣體無限灌下去! 當然渦輪壓縮機比起其他壓縮機也同樣存在一些問題,否則哪還有其它形式壓縮機存在的空間呢? 比方說你家裡的冷氣機就不會選用離心渦輪作為壓縮機, 否則你可能光在家裡看電視都能隨時聽見飛機起飛的聲音!

小渦輪與大渦輪

既然這樣,那麼大的離心渦輪和小的離心渦輪差別在哪裡呢?差別在於允許流通的氣體通量不一樣! 愈大的離心渦輪可以容許更大體積的氣體在短時間內快速通過,白話說就是吞吐量大。

如果使用了不能妥善匹配氣流條件的離心渦輪,比如說在氣體流通量很大的地方卻只安裝一個很小的壓縮機, 那麼就會產生兩個主要的問題。 首先是大量氣體要通過一個窄口(小壓縮機的通道相較狹小)本身就會導致較大的管道阻力, 情況嚴重的時候甚至能因為無法即時消化氣流,而在壓縮機前面產生迴堵並升壓。 其次是在壓縮機內氣流流通速度過大時,會使葉輪的極限轉速降底,從而導致壓縮率下降

發動機流程圖

fig4 1 process flow
Figure 6. 加入增壓器的發動機工作流程圖

這裡我想要介紹從另一個角度來看發動機的方法,就像是上圖(Figure 6)所示這樣。 這張圖使用像是工廠流水線的方式,交代了空氣從進入發動機核心部件直到離開的處理流程, 就好像工廠流水線從原料經過一道道加工步驟直到變為成品那樣; 只不過這次被加工的東西是發動機的工作流體,也就是空氣。 像這樣的圖片在本篇、以及計劃中的其它未來主題內都還會再出現許多次。 我之所以在解說某些事情的時候喜歡使用這種表現形式的流程圖, 是因為它隱藏了大量的實際結構和實現細節,讓我們可以保留專注力去注意某些真正重要的上層邏輯; 人生經驗經常讓我知道,有的時候事情不要看的那麼請楚,反而可以看的更清楚! 甚至這邏輯即使是在程式設計上面也是一樣的!

fig4 2 process details
Figure 7. 比較完整交代細節的發動機工作流程圖

當然若只看這樣簡單的流程圖有時候也太簡單, 如果再把本篇會關心的能量供受邏輯也一起畫上去的話,那麼這張圖應該會變成上圖(Figure 7)這樣子。 其中的藍色箭頭表達空氣也就是工作流體的加工步驟和移交順序, 空氣接連通過兩個壓縮工序並混合燃料。 為什麼是兩個壓縮機呢? 第二個壓縮機就是我們過往所熟知的汽缸,而汽缸和活塞的工作其一就是壓縮空氣; 而前一個被凸顯的壓縮機就是本篇的主題,也就是發動機附掛上去的那個渦輪增壓器了。

空氣(其實可能包含混合了燃料的燃氣,為了簡化敘述以及方便解說,以下會以「空氣」簡代稱之) 經過兩道壓縮之後,接下來經過燃燒的過程,空氣在此處理工序完後會升溫升壓。 高溫高壓的空氣隨後被送至膨脹處理流程,在這個工序裡空氣會減壓膨脹, 然後膨脹器會捕捉氣體在過程中所做的功。 至於膨脹完之後就是剩下的垃圾,也就是廢氣的排放了。

這裡還可以發現一件事,膨脹器和壓縮器其實是同一個零件,都是汽缸和活塞, 但是在這被切割成是兩個不同的工作處理模組; 事實上其實連燃燒器在活塞發動機裡面也都是在同一組機械結構內。 這是因為這兩個步驟做的應該是兩件不同的工作,只不過剛好能用同一組零件來完成, 但是事實上若不理會一些副作用的影響的話, 也並不是不能真的像圖示一樣用獨立的兩個汽缸去分別完成這兩件事。 這就好比是一般企業組織常見的「財務」和「出納」其實是兩個不同的工作劃分, 各自負擔不同的責任,在許多大企業裡面也是由不同的職員來擔任工作, 然而在很多中小型企業或組織單位裡面承擔這兩個職務的往往其實是同一個人,是一樣的道理。 這個現象也表明了像這樣的流程邏輯圖更加看重的是流程和處理邏輯,而非實際的實現細節!

空氣處理流程看完之後來看看能量傳遞情況。 許多的處理工作是需要消耗能量的,於是綠色的箭頭交代了這些能量的來源、和供應的方向。 可以看到第二道壓縮器所使用的能量源頭就是來自於膨脹器,不過中間經過了一個飛輪來過手轉交, 同時飛輪也負責將膨脹器產生的多餘動力向外輸出,成為發動機對外的功率輸出出口。 那麼第一道壓縮器的驅動動力來自於哪裡呢? 這當中有一些內容值得探討,不屬於本節範圍,因此在這裡就暫時先留個空白; 如果不告訴你一個具體的答案會導致渾身難受的話, 你可以先理解為它後面有一個搖柄需要有一個人用手去轉它!

上面這第二張流程圖(Figure 7)比較詳細些,但有點太過詳細, 所以後面再用到基於該圖的衍生圖解的時候,可能會更加精減隱藏一些不需要過度被關注的內容。

增壓器的角色

理解了本篇所介紹的流程圖之後,回過來看看增壓外掛在整個活塞發動機裡面到底擔當了什麼樣的角色?

從流程圖的呈獻可以發現,增壓器和汽缸的工作就是一模一樣的,目的都是在壓縮空氣; 那麼用兩個壓縮器來壓縮空氣是不是顯得好像有點疊床架屋的感覺? 兩個壓縮器可以合併起來變成一個嗎?為什麼要分開成兩個呢? 這想法的確可行,只是實現上會產生一些問題,這就先留給讀者自己去思考, 待到下一個動力系列文章時我再來解說。

因為額外增加了一個壓縮器,發動機原始的核心組件所需要的空氣會先經過它後被壓縮過一遍, 這樣當汽缸吸氣的時候,吸入的空氣就都是經過增壓後,壓力和密度都已有所提升的空氣。 這讓航空飛機在空氣稀薄的高空仍然能夠維持還算足夠的發動機功率輸出, 也讓地上爬的汽車和水裡游的海船可以用較小體量的發動機,爆發出原本大體量發動機才有的動力輸出。

中冷器

可能還有些讀者會發現,在前面我似乎刻意迴避了一個關於壓縮機的問題,那就是壓縮升溫的副作用。

壓縮會導致升溫,這點我在以前就解釋過 [1], 這也同樣是為什麼汽油發動機的壓縮上限約為 10 倍壓縮比的原因, 就是因為再繼續升溫下去可能會導致油氣不預期自燃的結果。 那麼我們用了兩道壓縮手續串聯,這壓縮程度肯定得超過容許上限吧?難道就沒有油氣自燃的問題嗎? 加入了額外的增壓工作確實會導致油氣自燃產生爆震的問題, 而對此問題的解決方法就是在中間加入一個冷卻器來給空氣降溫。

fig6 1 process intercooler
Figure 8. 加入中冷器的發動機工作流程圖

如上圖(Figure 8)所示,在兩道壓縮工序之間插入了一個冷卻器,用來給升溫的空氣進行降溫處理。 多了這道手續之後,氣體的溫度降低下來,就能讓空氣俱備足夠的條件讓後面的汽缸再繼續進一步加壓。 這個冷卻器的原理和外觀長相基本與過往介紹過的液冷發動機冷卻器是基本一樣的東西 [7] ,在有些設計上兩者甚至還被安放在一起, 唯一的主要差別就是其中一個是用來冷卻發動機冷卻液,而另一個是用來冷卻從增壓器出來的熱空氣而已。 為了區別兩個冷卻器, 因為後者是被安插在流程邏輯的中間位置,可能因此就被大家叫作「中冷器」(Intercooler)。

其實冷卻器被安插在兩個壓縮工序中間這件事並不是很少見的設計,比如許多火力發電廠都有這種設計。 以前我就曾解釋過 [1] ,給氣體降溫可以減少需要投入給壓縮器消耗的能量, 自然可以提高總體效率,產出更多淨功餘裕。 理想上最好的情況是壓縮機本身可以充份散熱,一邊壓縮一邊散熱, 進行一場溫度從頭到尾都不會變化的等溫過程,然而實際情況是這種東西現實上就很難被實現出來。 因此人們還是必須得處理壓縮散熱的問題,那麼應該在哪個地方安插散熱最好呢?

理論上最理想就是在開始壓縮前就先給空氣散熱降溫,但是現實上實在太過窒礙難行! 畢竟溫度從來都是自然的由高溫往低溫散, 一百度的東西只要放著就能散熱,一千度的東西散熱的更快; 但是吸氣入口的溫度大約就是室溫 30 到 -10 度左右,要如何把它降到零下 100 度呢? 那麼換個位置等壓縮工序都全部做完之後再來散熱就好做了吧? 是的,此時空氣的溫度都已經升高了幾百度,確實散熱容易了,但是也失去了意義! 前面壓縮機該消耗多少功都已經先消耗完了,現在才來散熱不只沒有實際意義, 反而現在降下來的溫度等會到燃燒時要消耗掉更多的燃料才能夠補回來,偷雞不著還蝕把米! 因此折衷下來,將散熱的工序安插在兩個壓縮器中間就是最為妥當的辦法。 前面壓縮器給空氣的升溫效應使得散熱工作得以順利且有效的進行, 散熱降溫的結果又能幫助下一個壓縮工序減少所需要的能量消耗; 此外在汽油引擎上可能更重要的作用是降低氣體溫度, 使在後面的壓縮工序裡(汽缸內的壓縮)不至提前自燃,解決因增壓導致的爆震問題, 於是事情就這麼成了。

另外中冷器作為一個普通的熱交換器,它的散熱能力也是有限的, 至少不可能讓散熱出來的空氣回到像吸氣的時候那樣的溫度。 散熱器處理完的空氣肯定還是有點溫度的,只是不那麼熱燙罷了。 那麼這就導致一個問題,對於後面的活塞汽缸來說, 其吸氣時的空氣溫度肯定是比沒有前置增壓器的情況下高得多, 如果還是維持以往設計的汽缸壓縮率的話,就會產生爆震問題! 因此 搭載了增壓器的發動機款式,其汽缸的壓縮比一般會被設計調降,通常壓縮比會被降至 7 左右; 當然這排除了那些事後才改裝上增壓器的情況!

增壓器動力來源

前面一直空白了一個問題,那就是增壓器的動力從何而來? 之所以沒有立刻解說這個部份,也是因為這不僅僅只是由誰來提供動力的問題而已, 而是隨著這個動力提供的來源不同,還會導致發動機整體特性有所變化, 實在難以在前面「順便」兩三句就能夠交代明白!

簡單總括來說,增設的壓縮機動力來源有三:馬達驅動、曲軸驅動、與排氣驅動。

馬達驅動

首先來看電馬達驅動,這種方式最為簡單明瞭,用一顆電動馬達來驅動壓縮機運轉。 好處是增壓器與發動機核心部件完全脫勾,彼此的交互影響最低; 缺點就是需要額外提供電源來供應壓縮機使用。 壓縮空氣本身需要消耗可觀的能量, 因此雖然同為附屬裝置,可是增壓器對能量的需求與什麼泵浦什麼的設備相比那都不在一個層級。 那麼這就要求採用此種方案的車輛必須俱備強有力的供電系統,可能還需要個大電池, 而這並不是一般汽車或航空器能夠合理負擔的情況,因此一直以來這個方案極少被應用在實用的發動機上。 不過對於近年興起的油電複合車來說,這個方案確實成了一個可被考慮搭配使用的方案, 這點晚點再談。

這種方案因為目前相當罕見,也就少聽過什麼廣傳的通俗說法, 因此我就暫且自己望義生字稱呼其為「電驅增壓」好了。

曲軸驅動

fig7 1 compress by shaft
Figure 9. 由曲軸驅動增壓器的發動機工作流程圖

使遇曲軸(或飛輪亦同)動力來驅動增壓器是一個歷史相當悠久的成熟方案, 因為從曲軸偷動力來驅動週邊裝置這件事情,大概從汽油發動機問世以來就已經存在了。 各種油泵水泵、磁電機、水箱風扇、車用空調等等一直以來都大量採用曲軸的動力來驅動, 雖然這會使發動機的功率輸出被偷走一部份,不過除了冷氣之外的性能減損佔比都是很低的, 也就不是太重要。 既然如此,那麼就給發動機曲軸多增加一個負載,用它來驅動增壓器的運轉成為一個可行且便捷的方案。 這個方案是從增壓器出現在汽油發動機上面開始直到現在都被廣泛使用的最流行方案之一, 也是二戰時期那些所有裝備了增壓器的戰鬥機裡面幾乎唯一的方案。

此方案的缺點就是會分走發動機輸出的動力,而且分走的可不是一星半點。 以二戰時期的戰鬥機來說,增壓器在全速運轉的時候掐指一算可能就得消耗掉約 500 馬力, 而整個發動機的總功率可能也就 1500 之譜,也就是大約三分之一都給小小增壓器消耗掉了! 當然也如同往期的分析一樣, 增加壓縮率同樣會提升發動機功率和效率,總體而言一來一回之下還是很划算的, 也才使得為什麼這個方案那麼廣泛流行在各種增壓發動機上面。 當然曲軸驅動模式還有一些其它的優點,不過這得與下面最後一種驅動方式進行比較才行。

對於這種驅動方案,一般流傳的通俗稱呼叫做「機械增壓」, 雖然我一直對這種稱呼方式有些意見,合著其它方案難道就不是機械驅動的增壓了? 其實這個通俗的名稱主要是為了區分下面即將介紹的另一種增壓驅動方案而產生的語言鏈變, 其完整的形容稱呼應該是「機械驅動式渦輪增壓」; 不過語言乃約定俗成,如果大眾們都習慣這麼叫,並且也都知道在表達什麼東西,那倒也不能說是什麼大錯。 只不過我個人還是對此有些微詞,但是用完整的表述好像也太長, 所以在本文還是就精減稱呼其為「軸驅增壓」好了。

fig7 2 me109 compressor inlet
Figure 10. Bf109 機頭側邊明顯的發動機空氣吸氣口 [8]
fig7 3 benz db605 compressor
Figure 11. Bf109 所使用的 Benz DB 605 發動機,標示的位置就是配備的離心渦輪增壓器,其中央吸氣口正好對應上圖標示的吸氣口 [9]
fig7 4 pw r2800 compressor
Figure 12. P&W R-2800 星型發動機也配備了曲軸驅動的離心增壓渦輪,圖片上的標示位置能看到葉輪、以及與曲軸連接的變速齒輪 [10]

排氣驅動

fig7 5 compress by exhaust
Figure 13. 由排氣驅動增壓器的發動機工作流程圖

最後一種常見的方案是使用發動機的排氣來推動增壓機的作法。 能利用排放的廢氣來作為推動力的條件,其實主要來自於: 活塞發動機排放出去的廢氣本身仍含有相當的壓力能量未被有效攔截。 這也是往期一直提過的,因為曲軸和連桿的運作特性, 使得活塞不得不在還未讓氣體充份膨脹的情況下,就得將其排放出去; 而這些廢氣除了直接放掉之外一直也缺乏妥善利用的方式, 最多就是將排氣管往機體後面的方向彎曲,使其排氣動能能夠稍稍補貼總推力 [7]。 現在可好了,前面就說過離心渦輪可以正反對稱使用,把它卡在排氣管上面就成了膨脹器, 於是現在就可以充份捕捉原來被大量浪費掉的排氣動力了!

這個方案需要使用兩個離心渦輪,一個在前端作壓縮器使用、一個在後端作膨脹器使用, 膨脹器截獲的能量就用來提供壓縮器使用。 雖然從流程邏輯圖來看這兩者的合作路徑有些遙遠, 不過在實際的實現上這兩個設備往往就是背貼著背的好鄰居, 直接共用同一根旋轉軸,還被封裝在同一個結構內成為一個整體,如下圖(Figure 14)所示。

這種增壓驅動方案一般流傳的通俗說法叫作「渦輪增壓」, 不過其實我對這種稱呼方式也很有意見就是了,合著其它的增壓都不用渦輪了? 對於這種增壓方案其實有現成已經流傳的另一種更加貼近詞意的名稱為「排氣渦輪增壓」, 或者簡稱為「排氣增壓」,而本文也將使用這兩種名稱來稱呼採用這種方案的增壓系統。

fig7 6 turbocharger
Figure 14. 排氣渦輪壓縮機,圖中右邊藍色部份為用來壓縮空氣的部份,而左邊紅色部份為由引擎廢氣吹動的膨脹器 [11]

由排氣驅動的增壓裝置最大的優點,就是不像曲軸驅動的方案那樣需要吃掉大量的發動機功率。 排氣渦輪除了會增加些汽缸排氣的背壓阻力之外,幾乎就不影響發動機的運作,還能夠進一步提升發動機性能, 是一個單從性能數字來看只有優點而沒有缺點的方案,而這也是它的最大優勢之所在。 因為它使用的是原本被浪費掉用不到的能量來驅動,因此幾乎可以說是白嫖動力, 對於功率和效率的提升都能提供相當大的幫助。

但除了帳面上性能的好處之外,排氣渦輪在現實上存在許多缺點(否則哪還有其它增壓形式存在的空間呢)。 例如使用汽缸排放的廢氣來工作的渦輪膨脹器,會需要面對在高溫環境下運作的問題, 如此其材料高溫耐受性、軸承耐受度、以及潤滑等相關的問題, 都會增加在設計上的難度,並提高製造即使用維護的成本。 除了對機油的性質要求更加嚴苛之外,如果在發動機高功率運轉過後熄火, 渦輪軸承內部的機油會因為失去油泵的動力而停止流動,在配合上渦輪本身還處於高溫的狀態, 就容易引發機油焦炭化並造成阻塞的問題。 所以許多帶排氣渦輪的汽車款式會要求要在熄火之前先原地怠速個幾分鐘就是為此。

此外在航空飛機上的應用,排氣渦輪以及其相關的設備是比較佔用空間的 (也許是因為航空發動機的排氣量都是幾十升起跳的原因吧)。 這項問題在體積本就比較龐大的轟炸機、運輸機等飛機上不是什麼大問題, 它們經得起發動機尺寸的微幅膨脹,所以這類大飛機都會裝配排氣渦輪增壓設備。 但是在體積本就比較小巧且機內空間侷促的單引擎戰鬥機上面來說,排氣渦輪就成了沈重的奢侈品, 因此幾乎所有二戰時期的螺旋槳戰鬥機,使用的幾乎全都是由曲軸驅動的增壓設備, 只有極其少數體型較大些的戰鬥機才會選用排氣增壓的方案,例如 P-38、P-47 等。

fig7 7 b17 from below
Figure 15. 著名的 B-17 轟炸機從下方就能明顯見到露在外面的增壓渦輪排氣裝置 [12]
fig7 8 b17 turbo system
Figure 16. B-17 排氣渦輪系統結構圖,雖然佔用不少發動機艙空間,但對於這麼大一架飛機來說並沒有什麼太大的影響! [13]
fig7 9 p38
Figure 17. 也是著名的 P-38 戰鬥機,雖是小型戰鬥機,但雙發雙身的設計也令其俱備足夠的體量和空間,可以容納排氣渦輪系統;其中綠色標註位置為中冷器的空氣進出口 [14]

這裡我再補充個小故事。 以前小時候看到 P-47 戰鬥機的時候就一直有個疑問, 覺得它的氣動力外型看起來沒啥讓人覺得亮眼之處,還又大又重, 到底是怎麼就成了二戰經典名機的呢? 事實上這飛機還真的就和看起來的樣子一樣,又大又重。 看它的內部結構(Figure 20Figure 21)就能發現, 這主要歸功於為了用上排氣渦輪而加入的增壓器、熱交換器、和相關管道管路所致的結果。 其操作性能也如同外觀給人的第一印象,有些笨拙,基本不是其它主流單引擎戰機的對手 (所以後來它更大的用途就成了利用自身載量大,加之皮糙肉厚能夠硬扛傷害的特點,成了極佳的對地支援飛機)。 然而在上了萬米高空以上的空域,一切就不一樣了! 當其它有些對手連爬到這個高度都費勁的時候, 當其它裝了曲軸驅動增壓器尚能一戰的對手先被增壓器給吃了三分之一動力的時候, P-47 卻依然保有豐沛的澎湃動力,自然能夠遊刃有餘的對付其他對手, 於是就這麼成了經典著名的戰鬥機!

fig7 10 p47 and p51
Figure 18. 與 P-51 戰機,注意到雖然照片中的 P-47 戰機位在畫面的後方,但仍能明顯展現出其體型比別人大了好幾個尺碼! [15]
fig7 11 p47 and others
Figure 19. 另外一張比較圖比較了 P-47 與其它同樣著名的單引擎戰鬥機的體型大小比較 [16]
fig7 12 p47 gas layout
Figure 20. P-47 增壓系統在其內部的排佈圖,可見其佔據了大量空間 [17]
fig7 13 p47 turbo system
Figure 21. 另一張 P-47 內部的排佈圖 [18]

增壓引擎特性

如果只看最佳的性能表現數據的話,加上增壓器的作用就是能夠提升一大截的發動機功率, 用體量小一級的發動機產生出體量大一級才有的動力輸出而已。 不過實際上遠不只如此單純,增壓器的存在會給發動機的整體產生一些在運作特性上的影響。 什麼維修保養、耐用度、壓力承受強度之類的東西先撇開不談, 這裡就只單純探討在性能表現及操作特性上所造成的改變。 但是其實追根究底,這一切的不同和改變基本全部來自於同一件事:

渦輪機的壓縮能力,與渦輪的轉速成正比;轉速愈高,壓縮力愈強,反之亦同。

也許你會直覺上的覺得「這可不是廢話嗎?」 但那只是因為現在只是單單只看渦輪本身的這條特性而已, 才會顯得這件事好像簡單到沒有必要去過度深入; 然而上面這條原因,以及由其所引發的一系列現象,導致改變了整個帶渦輪增壓的發動機的表現, 甚至貫穿到在純渦輪的發動機上面所引發的一系列令人頭疼的問題,根本原因都是由這項看似廢話的因素所致。

非線性動力

掛了渦輪增壓的活塞發動機,其動力控制會較為偏離人的正常直覺反應,導致操作的技術難度提升。 (不過在當代因為這類發動機都是由電腦來進行實際的底層控制, 所以操作的駕駛員可能比較難親身感受到所謂的這種非線性動力反饋特性, 因為這些困難基本是體現在控制軟體的設計上面,由相關設計人員先代諸位駕駛者給感受完了。) 渦輪增壓發動機的動力反應是非線性的,這點與機車討論區裡面關於碟煞和鼓煞的討論裡能見到。

fig8 1 nonlinear throttle power
Figure 22. 油門深度與引擎出力之間的關係對應示意圖,其中藍色線段就是線性的對應關係,而紅色為帶增壓器的對應關係

先說說線性的反應是什麼呢? 意思就是採了多少油門,引擎就出多少力; 全踩下去就是全功率,踩一半就出一半功率踩四分之一就出四分之一功率等等,以此類推。 而渦輪增壓款發動機卻可能是踩全部出全功率沒錯,但是踩一半的時候可能只有三分之一功率, 而踩三分之一的時候可能只有或許五分之一的功率,如上面示意圖(Figure 22)所示。 這會導致發動機在高功率區間的油門反應異常靈敏,一點點的油門差異可能導致發動機輸出的大幅度變化, 有點像是你在洗澡的時候想調個合適的水溫那樣; 而在低功率區間,發動機的動力響應就不太好,可能大踩大放之下發動機卻向個老賴似的反應不靈巧, 這樣當你突然想要加速逃跑的時候,就會吃點苦頭!

以上這現象的原因已經先行提點過了,就是肇因於增壓器的壓縮能力浮動所造成的結果。 不像是活塞汽缸,不論轉速高還是低,壓縮的倍率是一樣的(先撇除汽門正時等而只論理想之分析狀態), 而增壓器的壓縮倍率卻會隨著轉速的變化而變動。 發動機對空氣的整體壓縮率,是由汽缸的壓縮率和增壓機的壓縮率乘積的結果, 而增壓機的增壓值變動,就使得整體的空氣壓縮程度也是變動的。 意思就是說在高轉速的時候,空氣壓縮比大,動力輸出可達設計標準; 但是轉速較低時空氣壓縮比變小,動力輸出會比預期的還弱。 甚至於當轉速夠低的時候,增壓器沒能夠產生什麼作用,此時壓縮基本全靠汽缸; 然而我們已知汽缸的壓縮率在設計上就已經被刻意下調了,因此此時動力表現甚至就還不如沒有增壓機的發動機。 此外在底轉速的區間,增壓器不只沒能幫上什麼忙,其機械結構還增加了吸氣阻力, 使得整體性能表現還會更加悽慘一些!

總結而言,帶增壓器的發動機其理想的性能表現區間會體現在較高轉速的時候, 而低轉速區間是性能較為潺弱的部份,甚至還不及於沒有設計增壓器的發動機。 此一特性使得增壓款發動機不論是在設計上還是使用上,都會更加側重於高性能部份的表現。 此外其非線性的動力控制特性會使得操作使用上更加需要技巧和熟練, 不過在近代電腦控制的發展幫助下,這項特性多半被隱藏在數位控制邏輯的背後就是了。

反應遲滯

增壓式發動機還有一個討論熱度也挺高的特性,那就是反應遲緩的問題。 渦輪遲滯的現象特別發生在由排氣所驅動的增壓器上面,主要的表現行為就是當操作加大油門時, 發動機需要一個反應的時間才能達到所預期的動力狀態,這個反應的延遲就被稱之為遲滯。 因為這個問題因為被關注的熱度相當高, 所以直接搜尋相關關鍵詞如「渦輪遲滯」、「Turbo Lag」等,就可以查到很多相關的影片和討論區, 我這個比較難嵌入影片的地方就不放影片了。 發動機的具體響應時間在汽車上約為幾秒鐘左右,至於飛機上我就不知道了,我也沒開過這種飛機, 或許有些剛好有相關經驗的讀者可以提供經驗?

遲滯產生的根本原因還是同樣的:渦輪的壓縮力隨轉速變動。 因為由排氣驅動,所以首先發動機得先提高轉速,排氣強度增強後才能提供給排氣渦輪更大的能量輸入, 這就直接造成渦輪的轉速提升滯後於發動機的曲軸轉速。 但在排氣強度增加之後,渦輪也會因為葉輪本身的慣性因素,需要一個時間來進行提速, 於是再進一步加劇其工作狀態反應滯後的程度。 具體的渦輪反應滯後延遲時間與葉輪的轉動慣量成正相關,通常來說體積愈大的增壓器其滯後情況也愈嚴重。

這個渦輪遲滯的效應和前面所說的非線性輸出是不一樣的,注意別搞混了! 前者指的是發動機工作狀態與控制輸入(油門)之間的反應速度,後者指的是兩者之間的數值大小對應關係; 而由排氣所驅動的增壓渦輪則正好二者特性皆有! 於是渦輪遲滯的因素,成為除了體積與高溫環境耐受性之外, 讓許多實際應用中寧願接受軸驅增壓渦輪,也不願意選擇排氣增壓渦輪的另一項重要原因。

各種大小問題與應對方案

至此有關渦輪增壓的原理和主要特性已經介紹完畢, 最後再來統整一些增壓款發動機由於增壓器的存在而常見的一些問題、現象、以及相關解決方案。 當然這裡主要著重在設計上的考量,對於使用與保養等相關的部份反而不是我熟悉的領域。

多級多速

在汽車上面好像比較沒有這麼複雜, 但是在看到二戰時期戰鬥機相關數據的時候,常能看到像是「一級一速」、「二級二速」、「一級二速」等等詞語, 那麼這些是什麼東西呢?又是為了解決什麼樣的問題而存在呢?

如同最開頭所展示的發動機功率和高度關係圖所展示,以一般離心渦輪能夠提供的增壓幅度來看, 大概只能夠讓飛機支撐到大約三千至四千公尺左右的高度,那麼那些能爬到一萬公尺以上的飛機是怎麼辦到的呢? 能爬上萬米高空的飛機通常需要更高的增壓比,一般可以串聯兩個離心渦輪, 這樣就能提供約 12 倍左右的汽缸前進氣增壓,而這種串聯了兩級增壓渦輪的配置就稱為「二級」增壓。

fig9 1 two stage compressor
Figure 23. 二級增壓器,注意到它有兩個葉輪,能將進入的空氣分兩次接力壓縮 [19]

不過在軸驅渦輪系統上還有個問題。 如同前面所述,一般設計渦輪增壓都是比較看重高功率時的性能表現, 但是飛機得要從低速到高速都能用啊!至少飛機得能在低空以低功率條件飛行,至少要能低速起飛降落吧? 那麼這就會遇到一個問題,增壓器本身需要分走發動機的曲軸動力, 這在高功率運作時問題不大,但是在低功率運作下就會導致發動機負載沉重, 要不就是有不容易發動、容易熄火、和油耗偏大的問題,這與汽車掛著空調壓縮機冷車啟動的情況有些相似。

對此問題,簡單的解決方法就是不要掛那麼強力的壓縮器,或者降低些壓縮器和曲軸的轉速配比, 簡單來說就是靠著犧牲增壓機的性能來補救發動機在低功率工況下的運作順暢, 至於缺點副作用我想就無需再多說明了。 另一種解決方法就是給增壓器也配個變速齒輪,讓渦輪能夠切換與曲軸之間不同的轉速比。 當然這不需要像汽車排檔那樣複雜的變速箱,一般通常增壓器的變速機構也只需要提供兩種不同的轉速就夠了, 這就是所謂的「二速」,至於不能提供變速功能而只有一種轉速配比的就叫作「一速」。

fig9 2 two speed impellers
Figure 24. 一個二級增壓器的葉輪傳動結構,其中給第一級葉輪配置了兩組不同齒比的齒輪組可供切換使用 [19]

至此就能明白所謂的幾級幾速是怎麼一回事了吧! 簡單總結而言,一級增壓能使飛機爬高至約三千公尺上下的高度,而二級增壓能使飛機飛至萬米左右的高度; 二速的調配能使飛機在低功率運轉情況下保有一定的實用性,更使增壓器可以在高空放開手腳賣力工作; 而通常在汽車上並不會見到這些設計,因為一級一速在大多情況下已經足夠在地面上使用了。

渦輪遲滯

對於排氣驅動的增壓器而言存在油門反應遲滯的現象,這現象在飛機上可能問題不是很大,畢竟天空很寬廣, 所以比較少見航空發動機對此問題有太多的著墨,至少在活塞發動機上面少被關注。 但是對於在地面上行走的車輛來說,這問題常常就會讓人困擾了, 而渦輪遲滯的問題也常常是汽車之所以選用軸驅增壓而捨棄排氣增壓的一項重要因素!

降低壓縮機葉輪質量

在採用排氣增壓的前提下,從根本上改善遲滯的方法就是要提高渦輪葉輪的提速和降速反應力。 一項方案是減輕葉輪的質量,質量降低了則其轉動慣量自然也降低,對氣流的反應就能更加靈敏迅速。 當然降低葉輪質量也會導致葉輪的結構設計受到挑戰, 所以這方案除會提高對於材料的質量與強度要求,也會提高對於製造加工技術的要求。

雙渦輪並聯

另一個方案是採用體型較小的渦輪壓縮機,小型葉輪的轉動慣量小,自然能反應更快。 但是前面也提過,壓縮機太小的話可能會造成無法負荷發動機的氣流流通量需求,並且引發一掛的問題。 對此問題,一個簡單粗暴的方案就是:一個不夠,就安上兩個一起來唄! 這就是在汽車上常見雙渦論配置的最主要原因。 不同於飛機上採用雙渦輪的目的是將它們串聯起來以提供更大的增壓比, 汽車上的雙渦輪往往是採用並聯的方式以提供足夠的氣通量。

fig9 3 twin turbo
Figure 25. 使用兩個較小的渦輪增壓機,各自只分擔處理一半的進氣 [11]

大小渦輪串聯

另一個方案同樣採用兩個增壓渦輪,不過不是相等尺寸的渦輪,而是採用一大一小的兩個渦輪。 這樣小的渦輪可以對油門的高低變化提供比較良好的反應速度,而大渦輪可以顧及高功率工況時的壓縮性能。

當然大小兩個增壓渦輪並不能夠良好的保持同步運作,其效能和增壓比往往是不一致的,甚至差異頗大, 因此不適合採用並聯共同供氣的組合方式,就如同不同電壓的電池不能並聯起來使用是一樣的。 對於採用大小雙渦輪的情況一般只能採用串聯起來成為兩級增壓的方案, 在油門變化比較劇烈的時候主要由小渦輪來承擔快速反應工況變化的作用, 而在穩定大功率的工況下則主要依靠大渦輪來提供足夠的增壓效果。 如同前面所述,在氣體通量大的時候,小的渦輪的增壓倍率會降低; 當然只要這個渦輪不至於體積過度嬌小的話,是還不至於導致氣體堆積回堵, 就只是增壓比會降低,不能夠提供如預期規格上的增壓比而已。

混合曲軸驅動方案

既然由曲軸驅動的增壓器比較沒有這麼多奇奇怪怪的問題,那麼就產生了一種由混合動力驅動增壓渦輪的方案。

這個想法的其中一項具體方案,是給發動機配備兩個增壓渦輪, 一個由排氣驅動而另一個由曲軸驅動,然後將兩個增壓器串聯使用。 好處是兼顧了不同轉速下的引擎反應速度,而且兩個渦輪之間的運作較具有獨立性; 壞處就是使增壓相關設備結構更大,重量也更大。

另一個實現方案是由排氣和曲軸兩個動力來源來共同驅動同一個增壓渦輪, 好處是重量小一些,反正在車輛用途上一般也不需要用到兩級增壓。 但是兩個動力源的偶合和干擾性比較大,以相關的變速機構和匹配設計的複雜化作為代價, 並不一定就是個美好的方案。

混合電力驅動方案

這個方案與前一個混合動力方案相似,只不過前一個方案是使用曲軸動力作為第二個混合動力來源, 而這個方案則是使用電動馬達作為第二動力來源。

方案的實現方式挺簡單,給排氣渦輪增加一個電動馬達就基本完成了。 當需要提高發動機輸出功率的時候,就第一時間先用電力驅動馬達立刻提高渦輪轉速, 在排氣強度慢慢追上來的空檔暫時性的補貼動力供應,以減少渦輪遲滯效應。 當然在發動機功率暫時性減小的時候,同樣可以使用電力短暫維持渦輪轉速, 如果油門很快又回到原先狀態的話就不至於產生動力提升過慢的問題; 當然如果變成長時間保持在較低的運轉水平下就沒有辦法繼續維持了, 畢竟這只能暫時性提供原先反應不及的動力而已。

當然這方案的缺點也是非常明顯, 採用這個方案的汽車或飛機,需要俱備強大的供電能力、以及大量電力的儲存設備。 這項缺點直接導致了雖然這個方案看似很簡單很容易,卻數十年來都難以實現在實用的產品上, 大概要直到近年油電複合式混動車的興起,才給這種電驅渦輪提供了得以實現的平臺。

不過雖然當代已經存在可以讓這個方案實現的運作平臺(油電複合車),然而這個電驅方案仍然較少得到關注。 首先是油電複合車輛多半強調的是經濟性,對增壓渦輪的依賴性倒不是那麼強烈, 特別是如果要講究短時動力反應的操作情況,則多半是將電力資源直接輸出給驅動輪胎的馬達更加簡單實際有效, 因此讓這項方案的具體實現直到現在仍為罕見。

蓄壓氣瓶

這方案按的基本思維邏輯與混合電驅方案一樣,只不過前者使用車輛的電力提供增壓器暫時動力, 而本方案使用壓縮氣瓶來提供暫時的動力補充。

當發動機需要提升動力輸出的時候,就先將壓縮氣瓶儲存的高壓氣體釋放出來衝擊渦輪, 使渦輪能夠不用等到排氣強度提升就可以先獲得加速的動力; 相反的當動力輸出暫時性下降的時候,也可以使用氣瓶的壓力來暫時性維持渦輪的運轉狀態。 然後在平時正常的工作條件下,再用曲軸的動力去驅動一個小型壓縮機來給氣瓶補充壓縮氣備用, 整個邏輯概念就和電驅解決方案是一樣的,只不過由壓縮氣瓶來取代電池的功能而已。

這個方案的總和性能與用來解決同一個問題的幾種相關方案裡面算式綜和條件比較理想的, 使用氣瓶提供暫時性動力的原理邏輯與用電提供暫時動力是一樣的, 但是比起能夠提供足夠能量的電池和供電系統來說,氣瓶顯得更輕便小巧的多了; 要說缺點的話就是需要搭載額外的用來給氣瓶充氣的壓縮機, 並且相關方案技術比較新穎,相關副作用還沒有被發覺的特別明白。

延遲燃燒方案

對於解決排氣渦輪暫時性低轉速工作導致的遲滯問題,還有一個可能一般大眾更加熟悉的方案; 不過一般人熟悉的可能並不是這個方案的名稱和具體運作內容,而是它所產生的副作用, 也就是讓排氣管爆響、冒火,讓許多人可能會想要當下檢舉噪音污然的所謂「炸街」現象。

這個解決方案面對的情況比較特殊,它並不能夠在發動機提升功率的時候給予更快的反應速度, 而是特別為了在暫時性降低動力輸出,並且很快會回復原有輸出水平的情況下適用的方案, 比方說在過彎前減油,出彎後補油的情況下。 具體實現方式,是由行車電腦分析駕駛員的油門操作行為, 當電腦判斷應該是暫時性降低動力的時候,就會減少火星塞點火的頻率。 減少火星塞的頻率,意思就是有的時候汽缸該點火的時候並不會讓火星塞點火 (至於具體哪次會點火、哪次不點火,則由行車電腦運算和決定)。 這時沒有點火的汽缸就會做虛功,把混合氣壓縮之後又膨脹回來,什麼事都沒發生, 然後就從排氣閥給排放出去了,這達到了降低輸出功率的目的。 未燃燒的混合油氣進入高溫的排氣管,就會在排氣管內被高溫的環境引燃並膨脹, 於是排氣渦輪仍然能夠得到足夠的氣體壓力推動而維持轉速, 這樣發動機再次提速的時候,渦輪就不需要再經歷從低轉回到高轉的過程, 這達到了緩解渦輪遲滯效應的目的。

看完這個方案的運作原理之後,應該就能了解為什麼有些車子會在放鬆油門的時候, 從排氣管短暫冒出伴隨火光的砰、砰、砰炸響的原因了吧! 此外這個方案雖然解決了反應性能上遇到的問題,但是副作用也是非常明顯的, 費油、燃燒不完全、高噪音汙染、以及讓排氣管和渦輪膨脹器處於惡劣工作環境都是它所造成的結果, 甚至於也發生過許多在炸街的過程中引燃致火燒車的安全性風險,其中亦不乏高價的性能跑車!

突然性減油門

在裝備了渦輪增壓器的車輛或飛機上,突然性的增加油門頂多就是發動機來不及反應而產生遲滯的現象, 但是在突然性減油門的時候,就可能會導致損壞性的災害了!

當突然大幅收減油門的時候,後方活塞發動機對空氣進氣的需求突然減少, 但前方壓縮機卻可能還沒從相當賣力的工作狀態中消減下來。 這就造成進氣出現某種程度堵塞在汽缸前到壓縮機中間的管路中,給壓縮機帶來氣體流通的不穩定干擾, 甚至如果累積了過量的壓力還可能會導致氣體反向衝破,逆向衝出壓縮機。 這一下正向、一下逆向的氣體流動會給高速運轉中的壓縮機帶來相當大的氣流干擾和振動, 可以明顯聽見壓縮機運轉發出異音,如同人在孝喘似的,所以又被稱為「喘振」(surge)。 喘振發生時的氣體來回流動會給壓縮機葉片和軸心帶來強烈的干擾,甚至能造成變形與各種損壞情況, 是個必須想辦法避免的討厭問題!

對於曲軸驅動的增壓器來說,因為壓縮機的轉速是與曲軸連動的, 因此不存在曲軸轉速慢下來但壓縮機還在高轉速的情況, 因此又可以知道這個問題也是排氣增壓專屬的問題!

相對於設計了多層壓縮機的噴射飛機發動機而言,在活塞引擎增壓器上解決這個問題的方法簡單粗暴許多。 既然喘振發生的原因就是短時間內氣體在汽缸和壓縮機之間的管路堆積迴堵造成的, 那我就在這個管路上裝設一個被動的洩壓閥,當管內壓力過大的時候就會衝開這個閥門, 將過量的氣體排放出去,以避免發生喘振。 例如下圖(Figure 26)是一個實際發動機的增壓器相關管路邏輯圖, 其中的 Blowoff Value 就是這個洩壓閥。

fig9 4 turbocharged engine flow diagram
Figure 26. 渦輪增壓發動機的氣流處理流程圖範例 [20]

轉速過高

同樣又是那句話:「渦輪增壓器的壓縮能力與轉速成正比」。 這不只導致在發動機低轉速工作條件下增壓效果潺弱的問題, 在高轉速,特別是需要壓榨馬力的全速模式下,壓縮效果太好也同樣會導致問題! 當曲軸轉速拉高到某一個程度以上,超出了設計容許的範圍, 增壓器提供的過強壓縮能力會讓後面的管路、中冷氣、汽缸等設備工作在設計範圍外的高壓條件下, 如果結構承受不住的話就可能會導致損毀; 或者即便後面裝置都能承受得住,過度增壓導致的氣體升溫幅度也會更容易引發爆震!

解決的方案也是同樣簡單粗暴,比照前面的方式在排氣管上裝設一個洩壓閥, 這樣排氣管提供給膨脹器的氣體壓力受到限制,就能夠限制增壓器的運轉能力了。 在上圖(Figure 26)的發動機增壓氣管路邏輯圖中的 Waste Gate 就是這個洩壓閥。

注水加力

作為最後的壓軸,再提一個軍武迷常能在二戰時期戰鬥機上面看到的發動機噴水設計。 這種設計不論是在軸驅增壓還是排氣增壓條件下都存在。

二戰時期的多款經典戰鬥機往往都存在一種發動機「注水」的設計, 也有些強調短暫爆發力的跑車型車輛也裝備了注水的機制, 這種機制可以用來在短時間內提供超過額定標準的動力輸出, 不論是在緊急爬升攔截、追擊敵人、或是逃命的時候都很好用; 但是注水系統的工作原理是什麼呢?為什麼注水能給發動機帶來更強勁的動力呢? 這裡我就來解釋這個原理。

首先還是那句話:渦輪增壓器的壓氣能力與轉速成正比。 因為這個原因,當發動機在額定最高轉速之外稍微超過去試探極限的時候, 就可能讓內部的氣壓超出發動機能夠承受的範圍。 造成的結果可能是管道和汽缸的結構強度無法承受過大的壓力, 也可能是過度壓縮的氣體導致溫度過高,會提前引燃油氣導致爆震, 或者二者皆有。

對於上述的第二個問題即氣體溫度過高導致爆震的問題, 如果我們能夠提供一種方法來給汽缸進行足夠強效的降溫, 那麼就能夠讓轉速拉高更多,可以提供超額的馬力。 而對汽缸內進行噴水的作用即是如此!

是的,這就是水注射的作用,用來給汽缸強力降溫以穩定油氣、控制爆震, 這樣就能讓發動機超過額定功率輸出了。 至於噴水會不會導致發動機浸水、鏽蝕等問題?通常來說並沒有什麼影響。 因為在全功率輸出的工況下,汽缸內的溫度非常高, 一點點的水噴進去就會直接蒸發變成水蒸氣,然後跟著排氣出去了。

在汽缸內噴水除了抑制爆震問題之外,還可以提升熱效率。 如同本篇前面在解釋中冷器時所解釋過的一樣,在汽缸壓縮空氣之前對空氣進行降溫的話, 可以減少汽缸壓氣所需要消耗的能量,那麼能夠輸出的淨功自然就多了(因效率增加), 也就使得能夠輸出更多的「額外動力」。 換句話說,汽缸注水的作用其實就等同於一個強力的中冷器, 只不過這個強力中冷器只在所攜帶的水噴完之前有效而已! 因此這種能夠短暫允許提供更多動力輸出的裝置,一般都只保留在急切需要的時候才短暫啟用, 比方說逃命的時候、或者追擊的時候、或者飆速超車的時候。

既然注水加力的作用時間取決於攜帶的水量,那我帶很多水在飛機上不就可以多開點加力了呢? 這想法理論上正確,但實務上通常並不會裝設太大的注水加力水箱,本質上這是一個取捨平衡的問題。 不論是飛機還是車輛,承載能力是有限的。 你要多帶水,就表示燃料得少帶、或者武器得少掛,何況水可比油重多了,核算一下也許並不划算! 也因為這種注水提供超級動力的設備也不是平常有事沒事就會開著的東西, 因此在正常的設計配置下並不會攜帶過多的水在飛機上,大概就是供應合理的緊急動力時間而已。 另外這個注水設備其實在實務上通常噴的也不是純水, 在考量蒸發能力和吸熱效果的最佳情況下,通常是將水和甲醇以某種比例混合的液體噴入汽缸內。

上一篇:「活塞引擎 10:功率巔峰」
下一篇:「活塞引擎 12:追求效率,阿金森與米勒」